太平洋深层经向翻转环流研究取得系列进展
近日,海洋大科学中心王凡研究团队在太平洋深层经向翻转环流(又称深层西边界流)的结构和多时间尺度变异方面取得系列成果,基于长期连续的潜标观测资料揭示了3000米以深经向翻转环流在雅浦-马里亚纳海沟连接区的结构特征和季节内-季节的变异规律。
太平洋北半球中高纬度海区没有不断冷却失热而形成的高密度水,因此太平洋3000米以深的深层水和底层水均由深层经向翻转环流携带南极的高密水向北输运而来,这一过程在全球经向和垂向热量再分配和气候长期变化上起到重要作用。相比于经向翻转环流的大西洋深层分支,其在北太平洋深层的分支受观测数据稀少等限制以往的研究不多,但太平洋拥有全球最大的海域面积,具有全球最大的热量和碳存储能力,在全球变暖且越来越多的热量向深海转移的背景下,太平洋深层海洋过程值得重视和关注。

(左)太平洋深层经向翻转环流上、下两个分支(U-PMOC和L-PMOC)从南极绕极流起源后进入西太平洋的大致路径,黑色方框表示雅浦-马里亚纳海沟连接区深水通道;
?。ㄓ遥︰-PMOC和L-PMOC入侵雅浦-马里亚纳海沟连接区的季节性(右上:12-5月;右下:6-11月)路径
雅浦-马里亚纳海沟连接区是深层经向翻转环流进入西太平洋的关键要塞通道,王凡研究团队在这一区域开展了长期的潜标观测?;谏鲜鍪?,团队发现深层经向翻转环流上下两个分支(L-PMOC和U-PMOC)具有显著的季节变化:位于通道西侧3800-4200米北向的L-PMOC在12月至次年5月流速较强,可达20 cm s-1,6月至11月,流速较弱,且在通道东侧4000米以深存在南向的L-PMOC回流,其具有和L-PMOC一样的季节位相,但强度相对较弱;而位于通道东侧3000-3800米南向的U-PMOC,其季节位相与L-PMOC相反,即12月至次年5月,流速较弱,6月至11月,流速较强。L-PMOC和U-PMOC的季节变化分别伴随着上层绕极深层水(UCPW)和下层绕极深层水(LCPW)的季节性入侵。

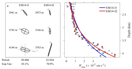
2016-2017年不同深度流速矢量的变化,其中蓝色和红色分别代表通道西侧和东侧潜标结果,数字表示流速矢量的平均深度以及经向流速年调和分析的解释方差

潜标观测到的流和等温线季节内振荡随深度增加而增强的现象

流和温度振幅的垂向分布符合地形罗斯贝波特征
除季节变化外,团队还发现该深水通道3000米以深的深层流和温度存在显著的30-90天季节内变化特征,而且季节内变化强度随深度增加,在4200米深度上观测到的流速和等温线垂向振幅可分别达45 cm s-1和600米。经过深入分析,团队揭示了上述季节内深层强化现象是由地形罗斯贝波引起,深层流速和温度变化振幅的垂向结构特征符合地形罗斯贝波的特性。结合模式数据,团队进一步讨论了该深水通道地形罗斯贝波的产生机制,其主要包括两个过程,一是表层的强涡旋通过位涡调整激发产生地形罗斯贝波;二是大尺度平均流的正压和斜压不稳定激发产生地形罗斯贝波。
上述研究成果发表在地球物理研究杂志《Journal of Geophysical Research: Oceans》,得到了国家自然科学基金委西太平洋地球系统多圈层相互作用重大研究计划重点项目、中国科学院战略性先导科技专项等的支持。
相关成果及链接如下:
Jianing Wang, Qiang Ma, Fan Wang*, Youyu Lu, and Larry J. Pratt, Seasonal variation of the deep limb of the Pacific meridional overturning circulation at Yap‐Mariana Junction, Journal of Geophysical Research: Oceans, 2020, 125, e2019JC016017.
https://agupubs.onlinelibrary.wiley.com/doi/full/10.1029/2019JC016017
Qiang Ma, Fan Wang*, Jianing Wang*, and Yilong Lyu, Intensified deep ocean variability induced by topographic rossby waves at the Pacific Yap‐Mariana Junction, Journal of Geophysical Research: Oceans, 2019, 124, 8360-8374.
https://agupubs.onlinelibrary.wiley.com/doi/full/10.1029/2019JC015490