约附近200米学生点,微信qq免费月抛群怎么进,900城市空降免费,qq上扫码叫上门服务可信

海底热液区岩浆混合过程及时间尺度研究获新进展

发布时间:2020-09-28  |  【打印】 【关闭

  幔源基性岩浆注入热液区浅部酸性岩浆房内发生的岩浆混合作用,不仅是影响岩浆化学成分和矿物结构多样性的重要过程,而且是岩浆喷发的主要诱因。在此过程中,如果岩浆混合不完全,通?;岢鱿只匝医澹蝗艋旌贤耆?,矿物的不平衡结构和环带特征可能是岩浆混合的唯一证据。斜长石是热液区火山岩中常见矿物,结晶于从玄武质到流纹质各演化系列的岩浆中,因此可以记录不同寄主岩浆的成分信息。且斜长石晶体内扩散速率较慢的元素(如NaSi-CaAl以及Sr-Ba等)保留了结晶时的原始信息,可以用来揭示不同岩浆的混合过程;而扩散速率快的元素(如Mg)可以用来限定岩浆混合到喷发的时间尺度。 

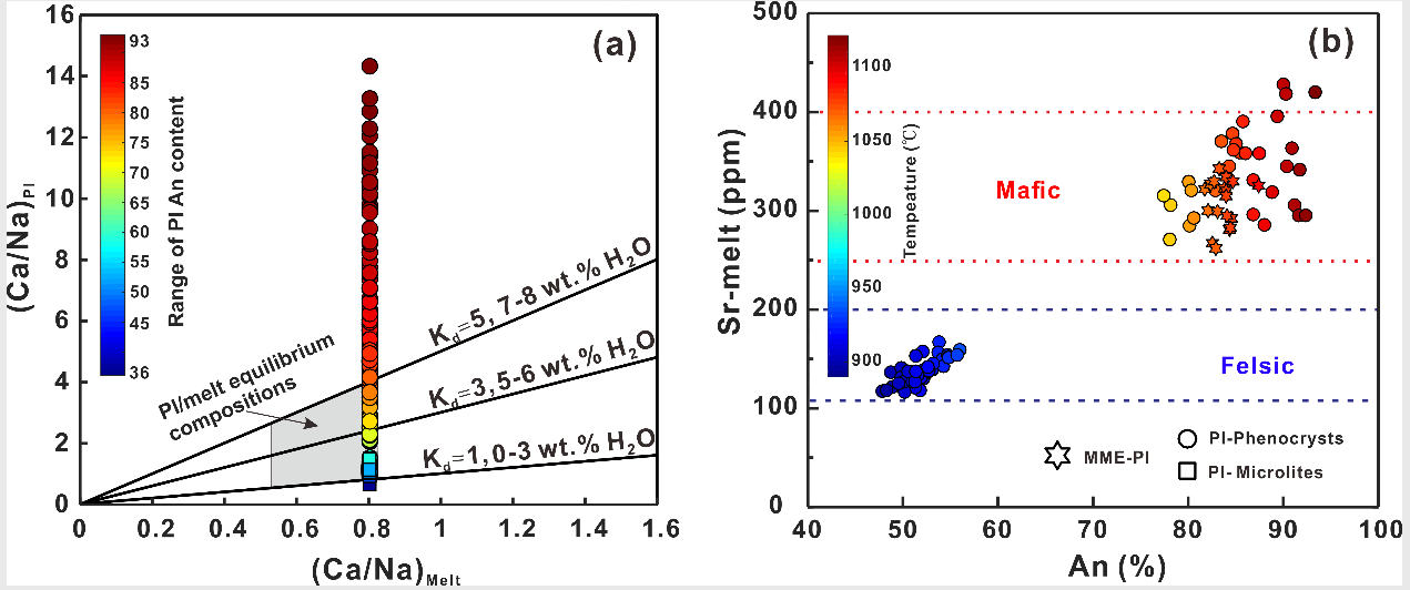
  基于此,海洋所曾志刚研究团队及合作者对采自西太平洋弧后盆地热液区附近的英安岩及其基性岩浆包体内的斜长石进行了详细的矿物学及微区主量、微量元素和Sr同位素分析。结果显示:英安岩中斜长石斑晶表现出明显的成分环带,核部具有高An值和高Sr/Ba比值,边部具有低An值和低Sr/Ba比值,且从核部到边部An值与Sr/Ba比值骤降。斜长石斑晶边部具有低Sr/Ba比值且87Sr/86Sr比值与英安岩全岩Sr同位素相似,表明斜长石边部是在寄主英安质岩浆中结晶的。相比之下,斜长石核部Sr同位素具有两种类型,一种是富集放射性成因Sr同位素(0.70724-0.70791);另一种具有非放射性成因Sr同位素(0.70535-0.70595),但两种类型的核均具有高An值和高Sr/Ba比值的特征。 
英安岩中具有明显成分环带特征的斜长石斑晶
  此外,斜长石核部高Ca/Na比值及其平衡熔体高Sr含量均表明它们与寄主英安质岩浆不平衡,因而来自于深部不同的铁镁质岩浆系统,被上升岩浆夹带进入浅层岩浆房。 
斜长石与熔体Ca/Na比值以及斜长石平衡熔体中Sr含量图
  研究人员利用Mg元素在斜长石中的扩散速率结合扩散方程(菲克第二定律),利用有限差分的数值方法模拟计算出钙质斜长石核部进入浅层岩浆房后经历了很长的滞留时间(可达600年),说明热液区浅部岩浆房具有较长的持续时间。而包体和寄主英安岩中斜长石不同的Sr同位素,尤其是钛磁铁矿成分的显著差异(钛磁铁矿晶体内阳离子扩散速率快,易达到扩散平衡),反映了基性岩浆注入浅层岩浆房中形成包体到岩浆喷发必须发生在很短的时间内(几十天),从而抑制包体与寄主英安岩发生完全化学平衡。因而,基性岩浆的注入很可能触发了英安质岩浆的喷发。 
具有典型环带特征的斜长石斑晶Mg元素扩散模拟图
热液区浅部岩浆房内岩浆混合模式图
  因此,热液区酸性岩浆中具有复杂的、开放体系结晶历史的矿物组合,幔源基性岩浆注入浅层酸性岩浆房内,随后进行的岩浆混合作用,是控制岩浆化学成分和矿物结构多样性的重要过程而且是岩浆喷发的主要诱因。 
  该研究成果发表在国际地学期刊LITHOS(JCR一区)上,第一作者为陈祖兴博士。研究得到了国家自然科学基金、中国科学院海洋地质与环境重点实验室开放基金、中科院战略性先导科技专项B、全球变化和海气相互作用等基金项目联合支持。    
  论文信息: 
  Chen Zuxing, Zeng Zhigang, et al. Lithos. https://doi.org/10.1016/j.lithos.2020.105776