约附近200米学生点,微信qq免费月抛群怎么进,900城市空降免费,qq上扫码叫上门服务可信

研究揭示太平洋板块俯冲对中国东部中生代以来岩石圈演化的重要影响

发布时间:2021-05-21  |  【打印】 【关闭

  近日,海洋大科学中心肖媛媛研究团队孙普助理研究员在国际学术期刊Earth-Science Reviews(《地球科学评论》)发表了题为“Eastern China continental lithosphere thinning is a consequence of paleo-Pacific plate subduction: A review and new perspectives”的文章,揭示了太平洋板块俯冲对中国东部中生代以来岩石圈减薄和增生、岩浆活动、岩石圈与软流圈界面性质等的重要影响。 

  以南北重力梯度带为界,中国东部在地势、地壳厚度、布格重力异常、岩石圈厚度均与西部存在巨大差异,这些差异被认为与中生代时期中国东部的岩石圈减薄有关。模拟表明,来自俯冲古太平洋板块的水加入刚性、干的古老大陆岩石圈地幔能够使其粘度降低1-2个数量级,转化为塑性的软流圈地幔,导致岩石圈地幔的减薄。岩石圈减薄导致逐渐变陡的地温梯度(高dT/dP),同时水的加入降低了橄榄岩的固相线,诱发了橄榄岩的部分熔融,解释了中生代时期广泛的岩浆活动。 
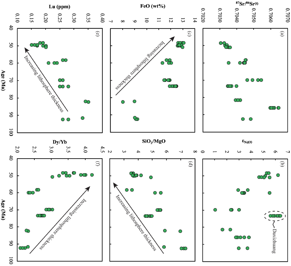
  幔源熔体成分在~110Ma前后的截然不同、花岗质岩浆活动在~90Ma的停止以及90-40Ma期间稀少的火山活动暗示古太平洋板块俯冲在~90Ma时停止,导致的直接结果是上地幔中水含量的降低,软流圈顶部粘度增大并转化为岩石圈地幔,岩石圈发生底部增生、增厚。90-40Ma幔源熔体随年龄降低逐渐增大的FeO和Dy/Yb、逐渐降低的SiO2/MgO和重稀土(如Lu)含量与这期间逐渐增大的熔体抽离深度和逐渐降低的部分熔融程度(即逐渐增大的岩石圈厚度)一致。 
  现今中国东部之下的岩石圈-软流圈地幔交界(LAB)是角闪石脱水固相线,地温梯度线(~60mW/m2)与脱水固相线相交于~90km,与中国东部大部分地区80-100km的LAB深度一致;超过90km深度,富集挥发分和不相容元素的初始熔体出现,这解释了中国东部软流圈顶部地震波低速带(LVZ)的存在,同时也解释了中国东部新生代玄武岩的成分富集特征。
以重力梯度带为界(黑色虚线),中国东-西部在地势、地壳厚度、布格重力异常和岩石圈厚度的差异
模拟显示加水(10-200 ppm)降低岩石圈地幔粘度,使其转化为塑性的软流圈地幔,导致岩石圈减薄
中国东部之下的上地幔热动力学模型
90-40Ma玄武岩随年龄降低的成分变化
  该研究由孙普助理研究员、郭鹏远副研究员和牛耀龄研究员共同完成。孙普和牛耀龄为论文共同通讯作者。该研究得到国家自然科学基金、山东省自然科学基金等项目的共同资助。 
  论文信息:Sun, P.*, Guo, P. and Niu, Y.*, 2021. Eastern China continental lithosphere thinning is a consequence of paleo-Pacific plate subduction: A review and new perspectives. Earth-Science Reviews. Online: https://www.sciencedirect.com/science/article/pii/S0012825221001811?via%3Dihub